“How to manage variation” may be a question you’ve pondered. To answer that question, however, it’s first important to understand variation and variability first.
Most organizations collect and report on metrics that are not descriptive of their processes. Some of you may have noticed that most metrics that are reported are the average and some organization also use the median. Most people do not understand elementary statistics and their application to business. Here is the truth of the matter: Your customers do not feel the average ” they feel the variation.
An inside-out view of the business is based on average or mean-based measures of our recent past. Customers don’t judge us on averages, they feel the variability in each transaction, each product we ship, each user interface we build, each online process we create, each interaction we have on the phone, each corresondence we have through email or a letter or a phone, and every other process that touches the customer in some way or form ” online or offline.
Customers value consistent, predictable business processes that deliver world-class levels of quality. They feel the difference, not the average.
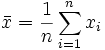
What is an Average?
The first measure we would arrive at is the mean, or the average, which is described below:

The averages takes a series of discrete units and is divided by the sum count of all those units. This is the Mean or the Average.
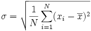
What is a Standard Deviation?
To get the standard deviation, which is the measure of the average variation from the Mean or the Average, then, we would calculate the standard deviation like below:

Understanding the mean and the distribution from the mean is important ” because our customer’s feel the variation, not the average.
Examples of Variation and Customer Experience
- For qualitative measures, such as taste or texture of a consumer good, we do not think in terms of an average taste. Instead, we as customers, think in terms of oh, that tasted sweeter the last time I bought it or dish #2 from restaurant x tasted creamier this time than last. We feel the difference, not the average. Yet, even qualitative measure rolled-up in company meetings report on the average or mean.
- For quantitative measures, we feel the variation, not the average. For example, (a) “The last time I ordered from Amazon, I received that package in 4 business days; but, on other times I receive my order usually after 6 days on standard shipping or (b) “Yesterday when I went to Taco Bell during lunch hour, I was in and out of there within 10 minutes, but on other days I’m there for my whole lunch hour or (c) “Since web x.0 company changed their user interface, it now takes me at least 3 more minutes to do what I used to do with the old user interface.”
These are some examples of quantitative measures. Yet, most likely, these types of metrics are reported as an average to upper management. Example (a) is a time-based measure, where an expectation was made from prior experience on deliver times; example (b) was also a time-based measure based on prior experience on server times; and example (c) is an example of a task-based usability test based on time, yet this metric will most likely be reported as an average such as 80% of of our population that follow this path complete this task with an average time of 245 seconds. It is a problem when our measures do not reflect how our customers are really feeling. Here’s a real-world example:
I was in charge of a click-to-ship process where the Marketing group made a customer promise that orders would be delivered within 10 business days. This is a great marketing tactic, but what did the data say about the current process capability?

Why is this Important?
The image above shows a data set that fits a normal distribution; the mean is calculated and so is the standard deviation. Given that the data fits the normal distribution, we can conclude that the data shows delivery times to be between ~3 and 12 days.
It’s important in several ways: (1), knowing this will help us better understand the customer experience ” that is, when do they typically receive their stuff. The range of ~3 to 12 days is arguably a bad customer experience ” there’s no smoothing effect here, but highly variable. The goal is to reduce variability so that the customer can have confidence in the company’s delivery estimates; (2) this empirical data can help the company pin-point where improvement opportunities might be; (3) this data might provide insight into product or lead to new product or shipment types.
*NOTE: The above is relevant in any process where there is a vendor-partner relationship or build-to-order process.
Basic Process Flow
Let’s back-up a little bit. All processes involve inputs, a server, and outputs. This flow of events can be approximated with the picture below:

The picture above is simplified, but several points of variability can enter this simple system. Below is a Variability Tree, showing Predictable and Unpredictable Variability. This distinction is important because managing either type of variability will be different.

For processes where arrivals are bursty or unpredictable, then the tools of Queueing Theory makes sense to apply; but for processes where the arrivals are predictable or seasonal, then it might make sense to apply the tools of Build-Up Diagrams.Most systems will show evidence of variability, as explained in the picture above; some will show both types, but typically one type will dominate.
How To Manage Variability
Below is a simple table that shows the impact of variability on a system. I built this quickly, but you can modify this table for your particular process; I’ve made it general enough so that you can apply it to your particular situation:

It’s About the Customer
I’m using the term Inventory in a generic way here ” it can mean people (patients) or actual things. For example, when the Waiting Room Size is bigger, then output can increase but there’s also an increase in the amount of patients in the room (patients = inventory). Use this trade-off table as it applies to your process.
Again, Variability is what people feel, not the average. Managing the variability in your process takes work and some knowledge of tools that are pragmatic and helpful. The average is an inadequate measure and is not descriptive of what the customer is feeling. There are other measures that basic business statistics makes available to us that will help us (1) understand the customer better, (2) understand better where we can improve (3) identify ways in which we can further delight the customer.
![]() |
![]() |
|||
| Blog Article | Excel | PowerPoint | Video |
| Module | Description | Type | |
| Overview |
What is Six SigmaThe various definitions of Six Sigma is explained in this 5:42 video. We specifically discuss 6 definitions of "Sigma", ending with the most relevant definition which is related to the DMAIC Method of Problem Solving. |
||
| Overview |
The DMAIC FrameworkIn this 4:17 video, we explain the DMAIC framework and give an introduction to each phase in DMAIC. We specifically show the storyboard for each phase in the DMAIC framework. |
||
| Overview |
DMAIC versus PDCAArticle describes how PDCA is used in Lean and the similarities and common history between PDCA and DMAIC. |
![]() |
|
| Overview |
History of Six Sigma and LeanIn this video, we go through the various contributors of Six Sigma, their contribution, and why it's important in the practice of modern Six Sigma. We also go into the history of the Toyota Production System and how the term "lean" was coined. Video is 7:36 long. |
![]() |
|
| Overview |
Lean History and TimelineThis article shows a comprehensive history and timeline of Lean and of continuous improvement beginning in the 1600's. |
![]() |
|
| Overview |
Black Belt CertificationIn this article, we provide various resources where you may take the Black Belt exam should you choose to do so. We also discuss the positive and negative of Black Belt certification. |
![]() |
|
| DEFINE | |||
| Define |
The Define Phase StoryboardWe introduce the Define Phase and show the Define Storyboard, a high level map of what the phase is about and the expected outputs. Video length is 3:50. |
||
| Define |
Business Needs AssessmentIn this video, we discuss how to identify business needs of an organization and how to take that knowledge and transform it into a formal DMAIC project that will get the backing and support from top management. Video length is 6:46. |
||
| Define |
Project CharterIn this 5:37 minute video, we explain the role of the project charter and its importance in Six Sigma DMAIC projects. Video length is 5:37. |
||
| Define |
Project Selection MatrixIn this short 2:51 minute video, we learn a simple and effective method for prioritizing between competing priorities. This method is important for the selection of an improvement project. |
||
| Define |
Problem StatementArticulating the problem well gets you much closer to a solution. In this video, we show you how along with several real world examples of effective problem statements. Video length is 5:42. |
||
| Define |
Stakeholder AnalysisIdentifying stakeholders and their needs is one of the most important steps in Define. This is especially crucial if there are any influential stakeholders that are resistant to your message. Video length is 2:47. |
||
| Define |
Affinity DiagramAffinity Diagram is a tried and true method for brainstorming and coming up with ideas. Learn how to apply this technique in this video. Video length is 4:25. |
||
| Define |
SIPOCIdentifying the key spots where measurements can be taken in crucial. This video will show you how to do it. Video length is 3:01. |
||
| Define |
Voice of the Customer and CTQIn this video spanning 5:11, we explain Voice of the Customer and how Six Sigma is rooted in the customer. We explain how to translate Voice of the Customer into Critical to Quality Metrics. |
||
| Define |
Critical to Quality TreeArticle explaining the critical to quality tree, with examples, and a template to download so you can create your own for your six sigma projects. |
![]() |
|
| Define |
Value Stream MapIn this 4:42 video, you will learn understand the value stream map symbols and learn how to design your own value stream map. We provide a zip file of VSM Symbols for you to download. |
||
| Define |
Kano ModelWe explain the Kano Model to identify service and product characteristics that should be "satisfiers" and the ones that be "good enough" and don't need to go any further. |
![]() |
|
| MEASURE | |||
| Measure |
The Measure Phase StoryboardWe introduce the Measure Phase and show the Measure Storyboard, a high level map of what the phase is about and the expected outputs. |
![]() |
|
| Measure |
Data Types in Six SigmaIn this article we explain the various types of data, how they're different, and what they tell us about process behavior. We will also learn how to collect data. Video length is 5:24. |
||
| Measure |
Descriptive StatisticsIn this module we learn various data measures that tell us key characteristics of a data set. We also begin the foundation for our discussion on distributions in a later module. |
![]() |
|
| Measure |
DistributionsThis is a brief introduction to statistical distributions and what inferences we can draw from them. |
![]() |
|
| Measure |
Graphical Representation of DataGraphically representing data effectively is required to effectively communicate meaning. In this module we learn various graphical methods and how to do them. |
![]() |
|
| Measure |
7 Quality ToolsWe briefly introduce each of the 7 quality tools. We follow this video several videos where we focus on the detailed of each of the 7 quality tools. Video length is 4:46. |
||
| Measure |
Check SheetsIn this HD video, we explain the checksheet, what it is used for, see various examples of checksheets, how to create one, and be able to download a checksheet template from the Shmula content library. Video length is 3:53. |
||
| Measure |
Pareto ChartIn this 4:48 minute video, you will learn the history of the Pareto Principle, why it's important, and how to apply the Pareto Principle in your lean and six sigma efforts using excel. |
||
| Measure |
HistogramThis video on the Histogram explains what it is, when to use it, and how to use it. Video length is 3:01. |
||
| Measure |
Scatter PlotIn this 4:27 short video, we introduce the Scatterplot, what it is, why use it, and how it can be helpful in your six sigma projects. |
||
| Measure |
Cause and Effect DiagramThis 5:21 minute video explains the cause and effect diagram - what it is, when to use it, and how to create one. |
||
| Measure |
Control ChartIn this video, we introduce you to the control chart - what it is, where to use it, when to use it, and how it's used. Video length is 7:05. |
||
| Measure |
Run ChartIn Progress |
In Progress | |
| Measure |
Process Cycle EfficiencyProcess Cycle Efficiency is a more modern tool that looks at processes from the perspective of value and waste. We show you how to do it and why it's important. |
In Progress | |
| Measure |
FMEAFailure Mode Effects Analysis is a tried and true method and technique for quickly identifying ways where process problems can occur and how to quickly mitigate them. Video length is 4:45. |
||
| Measure |
Basic StatisticsIn this article, we go in depth to explain basic data types, scales, and the language of six sigma. |
![]() |
|
| Measure |
Using Z ValuesWe learn about Z Values or the Z Score with applications in Six Sigma projects. |
![]() |
|
| Measure |
Sample Size CalculationsIn this module we learn the underpinnings of sample size calculations and how they are used in six sigma. We provide a sample size calculator in the template section also. |
![]() |
|
| Measure |
Introduction to VariationThis article introduces the learner to the concept of variation and how it impacts the customer experience. |
![]() |
|
| Measure |
Red Bead Experiment Part 1Introduction to red bead experiment. |
![]() |
|
| Measure |
Red Bead Experiment Part 2In part 2, we actually do a quick run through the experiment. |
![]() |
|
| Measure |
Red Bead Experiment Part 3In this video, we explain and go through more runs of the experiment. |
![]() |
|
| Measure |
Red Bead Experiment Part 4In this video we continue our experiment and go through some of Dr. Deming's most famous quotes. |
![]() |
|
| Measure |
Red Bead Experiment Part 5Continuing the experiment, with a focus on how to best facilitate an event. |
![]() |
|
| Measure |
Red Bead Experiment Part 6In this last video in the series, we go through the key lessons learned from Deming's famous experiment on variation. |
![]() |
|
| Measure |
Measurement System AnalysisIn this video we discuss variation and how it impacts our methods of measuring. Video length is 5:28 and we show examples along with tips on how to deal with bad metrology. Video length is 5:28. |
||
| Measure |
Gauge R&RIn this video we explain the Gauge R&R Test and provide various examples of where and how it may be applied in industry. |
In Progress | |
| ANALYZE | |||
| Analyze |
The Analyze Phase StoryboardWe introduce the Analyze Phase and show the Analyze Storyboard, a high level map of what the phase is about and the expected outputs. |
In Progress | |
| Analyze |
BrainstormingWe introduce various methods of brainstorming. Some conventional and some not very and more modern. Some of these methods are taken from Design Thinking and have been found to be very effective in identifying innovative and simple solutions to problems. |
In Progress | |
| Analyze |
5 Whys and Fishbone DiagramIn this video we explain the 5 Why exercise and show many examples. We extend the 5 Whys and show how it naturally leads to the Fishbone Diagram. |
In Progress | |
| Analyze |
Verifying Root CausesWe introduce hypothesis testing and various methods for doing so including the Regression, T Test, Chi Square, and ANOVA. |
In Progress | |
| Analyze |
Hypothesis TestingIn Progress |
In Progress | |
| Analyze |
RegressionIn Progress |
In Progress | |
| Analyze |
T TestIn Progress |
In Progress | |
| Analyze |
Chi SquareIn Progress |
In Progress | |
| Analyze |
ANOVAIn Progress |
In Progress | |
| IMPROVE | |||
| Improve |
The Improve Phase StoryboardWe introduce the Improve Phase and show the Improve Storyboard, a high level map of what the phase is about and the expected outputs. |
In Progress | |
| Improve |
Change ManagementWe introduce you to several change management models that have been found to effective in practice. We show what they are, how to do them. |
In Progress | |
| Improve |
Solution Selection MatrixThe Solution Selection Matrix is a simple tool that helps a team vote and decide on which solution makes the most sense to put resources behind in improvement projects. |
In Progress | |
| Improve |
Process CapabilityWe discuss process capability and how it's different from a process not in control. We discuss its importance. |
In Progress | |
| Improve |
Cost / Benefit AnalysisWe introduce the concept of Cost and Benefit Analysis and provide several ways at showing cost savings from Six Sigma Projects. |
In Progress | |
| Improve |
Poka YokeAs part of the Improve Phase, we introduce the concept of Poka Yoke, or error proofing, as a way to prevent defects before they even occur. We show may examples and teach the principles behind Poka Yoke. |
In Progress | |
| CONTROL | |||
| Control |
The Control Phase StoryboardWe introduce the Control Phase and show the Control Storyboard, a high level map of what the phase is about and the expected outputs. |
N/AN/A | |
| Control |
Before / After ParetoWe show ways to visually see before and after results of your project. |
In Progress | |
| Control |
Standard Pig GameIn this 4:55 minute video, we show you a simple and effective game that teaches the importance of Standard Work. This video should be watched prior to the video on Standard Work. |
||
| Control |
Standard WorkStandard Work is a foundation of Lean and Six Sigma. In this 5:36 minute video we explain Standard Work and show its role in continuous improvement. |
||
| Control |
Control ChartsWe discuss the various control charts, why they're important, and how to create them given your process and given your data type. |
In Progress | |
Become a Lean Six Sigma professional today!
Start your learning journey with Lean Six Sigma White Belt at NO COST














